Hyaluronic acid (HA) is a natural polysaccharide. It is widely present in human skin, joint fluid and connective tissues. It is a crucial component for maintaining the skin’s moisture and elasticity.Microbial fermentation technology has matured. The production of Hyaluronan has become efficient, low-cost and large-scale. This lays the foundation for its wide use in medicine, cosmetics and functional foods.
The Basic Characteristics and Safety of Hyaluronic Acid
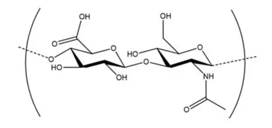
It is formed by N-acetyl-D-glucosamine and D-glucuronic acid connected alternately. Its molecular chain has many hydroxyl groups. These groups can bind a lot of water molecules. They form a powerful hydration network. It has different molecular weights. They play different roles in the skin. Low-molecular HA can penetrate deep into the skin. It increases internal moisture. High-molecular HA forms a moisturizing film on the surface. It prevents water loss.Many toxicological studies and clinical trials have been done. They confirm that Hyaluronan is safe.In animal experiments, its median lethal dose is much higher than the daily intake level. In human trials, long-term oral administration of high-dose Hyaluronan has no adverse reactions. It is not an allergen.
The Role of Hyaluronic Acid in Anti-Aging of the Skin
Skin aging happens. It is accompanied by the reduction of extracellular matrix components such as Hyaluronan and collagen. You can supplement hyaluronic acid from outside. This can significantly improve skin aging symptoms.Clinical studies show results. Local application of hyaluronic acid with different molecular weights works. It can effectively reduce wrinkle depth. It enhances skin elasticity and moisture content. You can use it with ingredients like retinol.
This can further improve the anti-aging effect.For photoaging, hyaluronic acid helps. It inhibits the expression of inflammatory factors induced by ultraviolet radiation. It reduces collagen degradation. It promotes endogenous HA synthesis. These ways alleviate skin damage caused by ultraviolet radiation.Animal experiments show results. Oral administration of low-molecular-weight hyaluronic acid works. It improves skin moisture and thickness. It also upregulates the expression of HAS2 gene. It promotes skin self-repair.
Application of Hyaluronic Acid in Skin Moisturization and Barrier Repair
Hyaluronic acid has extremely strong water-absorbing capacity. It can bind water equivalent to thousands of times its own weight. This significantly enhances the skin’s water retention ability.Clinical studies confirm results. You can take 120mg of hyaluronic acid orally every day. Do this for 12 consecutive weeks. It can significantly increase the moisture content of the stratum corneum. It reduces water loss through the skin. It improves skin elasticity and wrinkle conditions.

The Potential of Hyaluronic Acid in Wound Healing and Inflammatory Skin Diseases
During wound healing, Hyaluronan acts. It promotes the expression of vascular endothelial growth factor (VEGF) and basic fibroblast growth factor (bFGF). This accelerates angiogenesis and tissue repair. Hyaluronan also has other abilities. It can regulate immune responses. It alleviates symptoms of inflammatory skin diseases. These diseases include atopic dermatitis (AD) and rosacea. Studies show results. Hyaluronan with different molecular weights works. They can respectively regulate Th1/Th2 immune responses. This provides new ideas for individualized treatment.
The Current Development Status of Hyaluronic Acid as a Functional Food
In 2008, China approved Hyaluronan sodium as a new resource food. After that, its application scope gradually expanded. It is now used in dairy products, beverages, candies and other fields.Countries like Japan, South Korea and the United States also use hyaluronic acid widely. It is used in dietary supplements and functional foods.Studies show results. Oral administration of hyaluronic acid works. It improves skin condition. It also has the potential to regulate intestinal flora. It enhances intestinal barrier function. This opens up new paths for the development of prebiotic products.

Future Outlook
Hyaluronic acid research has made great progress in skin health. Its roles in skin barrier function, immune regulation and molecular mechanisms still need more exploration.Future research should focus on different molecular weight hyaluronic acids. It should study their metabolic pathways, biological activities and applications in tissue engineering and regenerative medicine.
This can promote the scientific and precise development of Hyaluronan in skin health. Hyaluronic acid’s application scenarios keep expanding. The “gap between laboratory research and industrial production” has become more obvious.This is a critical stage. Bolen Biotechnology can provide one-stop solutions for Hyaluronan-related projects. These solutions include strain construction, process optimization and GMP-level production.
Bailun is promoting the intelligentization of bioreactors, creating a large-scale bioreaction model and an end-to-end platform for synthetic biology “strain-industrial production”, building a precision fermentation big data cloud, aggregating massive amounts of reaction data, and monitoring, analyzing and predicting fermentation parameters and material changes in real time, thereby improving the efficiency and accuracy of synthetic biology research and development, and promoting the intelligent, efficient and sustainable development of the bio-industry.Contáctenos